정보처리기사 - 서버 프로그램 구현 #73~75
2023. 8. 19. 12:10ㆍ자격증/정보처리기사
73. 객체지향(Object-Oriented)
73.1 객체지향(Object-Oriented)
소프트웨어의 각 요소들을 객체(Object)로 만든 후, 객체들을 조립해서 소프트웨어를 개발하는 기법
- 구조적 기법의 문제점으로 인한 소프트웨어 위기의 해결책으로 채택되어 사용되고 있음
- 소프트웨어의 재사용 및 확장이 용이하여 고품질의 소프트웨어를 빠르게 개발할 수 있고 유지보수가 쉬움
- 객체지향의 구성 요소
- 객체(Object)
- 클래스(Class)
- 메시지(Message)
- 객체지향의 특징
- 캡슐화(Encapsulation)
- 상속(Inheritance)
- 다형성(Polymorphism)
- 연관성(Relationship)
73.2 객체(Object)
데이터와 이를 처리하기 위한 함수를 묶어 놓은 소프트웨어 모듈
| 종류 | 내용 |
|---|---|
| 데이터 | 객체가 가지고 있는 정보로, 속성이나 상태, 분류 등 |
| 함수 | - 객체가 수행하는 기능으로 객체가 갖는 데이터를 처리하는 알고리즘 - 객체의 상태를 참조하거나 변경하는 수단 |
73.3 클래스(Class)
공통된 속성과 연산을 갖는 객체의 집합
- 각각의 객체들이 갖는 속성과 연산을 정의하고 있는 틀
- 클래스에 속한 각각의 객체를 인스턴스(Instance)라고 함
73.4 메시지(Message)
객체들 간의 상호작용에 사용되는 수단으로, 객체의 동작이나 연산을 일으키는 외부의 요구 사항
- 메시지를 받은 객체는 대응하는 연산을 수행하여 예상된 결과를 반환
73.5 캡슐화(Encapsulation)
외부에서의 접근을 제한하기 위해 인터페이스를 제외한 세부 내용을 은닉하는 것
- 캡슐화된 객체는 외부 모듈의 변경으로 인한 파급 효과가 적음
- 객체들 간에 메시지를 주고받을 때 상대 객체의 세부 내용은 알 필요가 없으므로 인터페이스가 단순해지고, 객체 간의 결합도가 낮아짐
73.6 상속(Inheritance)
상위 클래스의 모든 속성과 연산을 하위 클래스가 물려받는 것
- 하위 클래스는 물려받은 속성과 연산을 다시 정의하지 않아도 즉시 자신의 속성으로 사용할 수 있음
- 하위 클래스는 상속받은 속성과 연산 외에 새로운 속성과 연산을 첨가하여 사용할 수 있음
73.7 다형성(Polymorphism)
하나의 메시지에 대해 각각의 객체가 가지고 있는 고유한 방법으로 응답할 수 있는 능력
- 객체들은 동일한 메소드명을 사용하며 같은 의미의 응답을 함
- 예) '+' 연산자의 경우 숫자 클래스에서는 덧셈, 문자 클래스에서는 문자열의 연결 기능으로 사용됨
73.8 연관성(Relationship)
두 개 이상의 객체들이 상호 참조하는 관계를 의미
- 연관성의 종류

74. 객체지향 분석 및 설계
74.1 객체지향 분석(OOA; Object Oriented Analysis)
사용자의 요구사항과 관련된 객체, 속성, 연산, 관계 등을 정의하여 모델링하는 작업
- 개발을 위한 업무를 객체와 속성, 클래스와 멤버, 전체와 부분 등으로 나누어서 분석
- 클래스를 식별하는 것이 객체지향 분석의 주요 목적
74.2 객체지향 분석의 방법론
| 종류 | 내용 |
|---|---|
| Rumbaugh(럼바우) 방법 | 분석 활동을 객체 모델, 동적 모델, 기능 모델로 나누어 수행 |
| Booch(부치) 방법 | - 미시적(Micro) 개발 프로세스와 거시적(Macro) 개발 프로세스를 모두 사용 - 클래스와 객체들을 분석 및 식별하고 클래스의 속성과 연산을 정의 |
| Jacobson 방법 | 유스케이스(Use Case)를 강조하여 사용 |
| Coad와 Yourdon 방법 | - E-R 다이어그램을 사용하여 객체의 행위를 모델링 - 객체 식별, 구조 식별, 주제 정의, 속성과 인스턴스 연결 정의, 연산과 메시지 연결 정의 등의 과정으로 구성 |
| Wirfs-Brock 방법 | 분석과 설계 간의 구분이 없고, 고객 명세서를 평가해서 설계 작업까지 연속적으로 수행 |
74.3 럼바우(Rumbaugh)의 분석 기법
모든 소프트웨어 구성 요소를 그래픽 표기법을 이용하여 모델링하는 기법
- 객체 모델링 기법(OMT, Object-Modeling Technique)이라고도 함
- 분석 활동은 '객체 모델링→동적 모델링→기능 모델링' 순으로 이루어짐
| 종류 | 내용 |
|---|---|
| 객체 모델링 (Object Modeling, Information Modeling) |
정보 모델링(Information Modeling) 이라고도 하며, 시스템에서 요구되는 객체를 찾아내어 속성과 연산 식별 및 객체들 간의 관계를 규정하여 객체 다이어그램으로 표시하는 것 |
| 동적 모델링 (Dynamic Modeling) |
상태 다이어그램을 이용하여 시간의 흐름에 따른 객체들 간의 제어 흐름, 상호 작용, 동작 순서 등의 동적인 행위를 표현하는 모델링 |
| 기능 모델링 (Functional Modeling) |
자료 흐름도(DFD)를 이용하여 다수의 프로세서들 간의 자료 흐름을 중심으로 처리 과정을 표현한 모델링 |
74.4 객체지향 설계 원칙
변경이나 확장에 유연한 시스템을 설계하기 위해 지켜져야 할 원칙
- SRP, OCP, LSP, ISP, DIP의 다섯 가지 원칙의 앞 글자를 따 SOLID 원칙이라고 부름
| 종류 | 내용 |
|---|---|
| 단일 책임 원칙 (SRP, Single Responsibility Principle) |
객체는 단 하나의 책임만 가져야 한다는 원칙 |
| 개방-폐쇄 원칙 (OCP, Open-Close Principle) |
기존의 코드를 변경하지 않고 기능을 추가할 수 있도록 설계해야 한다는 원칙 |
| 리스코프 치환 원칙 (LSP, Liskov Subsitution Principle) |
자식 클래스는 최소한 부모 클래스의 기능은 수행할 수 있어야 한다는 원칙 |
| 인터페이스 분리 원칙 (ISP, Interface Segregation Principle) |
자신이 사용하지 않는 인터페이스와 의존 관계를 맺거나 영향을 받지 않아야 한다는 원칙 |
| 의존 역전 원칙 (DIP, Dependency Inversion Principle) |
의존 관계 성립 시 추상성이 높은 클래스와 의존 관계를 맺어야 한다는 원칙 |
75. 모듈
75.1 모듈(Module)
모듈화를 통해 분리된 시스템의 각 기능으로, 서브루틴, 서브시스템, 소프트웨어 내의 프로그램, 작업 단위 등을 의미
- 모듈의 기능적 독립성은 소프트웨어를 구성하는 각 모듈의 기능이 서로 독립됨을 의미

- 모듈의 독립성은 결합도(Coupling)와 응집도(Cohesion)에 의해 측정
- 모듈화(Modularity) : 소프트웨어의 성능을 향상시키거나 시스템의 수정 및 재사용, 유지 관리 등을 위해 시스템의 기능들을 모듈 단위로 분해하는 것

- 모듈의 독립성 : 모듈이 다른 모듈과의 과도한 상호작용을 배제하고 하나의 기능만을 수행함으로써 이루어지며, 독립성을 높이려면 모듈의 결합도는 약하게, 응집도는 강하게, 모듈의 크기는 작게 만들어야 함
75.2 결합도(Coupling)
모듈 간에 상호 의존하는 정도 또는 두 모듈 사이의 연관 관계
- 결합도가 약할수록 품질이 높고, 강할수록 품질이 낮음
- 결합도의 종류와 강도

75.3 결합도의 종류
| 종류 | 내용 |
|---|---|
| 내용 결합도 (Content Coupling) |
한 모듈이 다른 모듈의 내부 기능 및 그 내부 자료를 직접 참조하거나 수정할 때의 결합도 |
| 공통 결합도 (Common Coupling, 공유 결합도) |
- 공유되는 공통 데이터 영역을 여러 모듈이 사용할 때의 결합도 - 파라미터가 아닌 모듈 밖에 선언된 전역 변수를 사용하여 전역 변수를 갱신하는 방식으로 상호작용하는 때의 결합도 |
| 외부 결합도 (External Coupling) |
어떤 모듈에서 선언한 데이터(변수)를 외부의 다른 모듈에서 참조할 때의 결합도 |
| 제어 결합도 (Control Coupling) |
- 어떤 모듈이 다른 모듈 내부의 논리적인 흐름을 제어하기 위해 제어 신호나 제어 요소를 전달하는 결합도 - 하위 모듈에서 상위 모듈로 제어 신호가 이동하여 하위 모듈이 상위 모듈에게 처리 명령을 내리는 권리 전도 현상이 발생하게 됨 |
| 스탬프 결합도 (Stamp Coupling, 검인 결합도) |
모듈 간의 인터페이스로 배열이나 레코드 등의 자료 구조가 전달될 때의 결합도 |
| 자료 결합도 (Data Coupling) |
모듈 간의 인터페이스가 자료 요소로만 구성될 때의 결합도 |
75.4 응집도(Cohesion)
모듈의 내부 요소들이 서로 관련되어 있는 정도
- 응집도가 강할수록 품질이 높고, 약할수록 품질이 낮음
- 응집도의 종류와 강도

75.5 응집도의 종류
| 종류 | 내용 |
|---|---|
| 기능적 응집도 (Functional Cohesion) |
모듈 내부의 모든 기능 요소들이 단일 문제와 연관되어 수행될 경우의 응집도 |
| 순차적 응집도 (Sequential Cohesion) |
모듈 내 하나의 활동으로부터 나온 출력 데이터를 그 다음 활동의 입력 데이터로 사용할 경우의 응집도 |
| 교환적 응집도 (Communication Cohesion, 통신적 응집도) |
동일한 입력과 출력을 사용하여 서로 다른 기능을 수행하는 구성 요소들이 모였을 경우의 응집도 |
| 절차적 응집도 (Procedural Cohesion) |
모듈이 다수의 관련 기능을 가질 때 모듈 안의 구성 요소들이 그 기능을 순차적으로 수행할 경우의 응집도 |
| 시간적 응집도 (Temporal Cohesion) |
특정 시간에 처리되는 몇 개의 기능을 모아 하나로 모듈로 작성할 경우의 응집도 |
| 논리적 응집도 (Logical Cohesion) |
유사한 성격을 갖거나 특정 형태로 분류되는 처리 요소들로 하나의 모듈이 형성되는 경우의 응집도 |
| 우연적 응집도 (Coincidental Cohesion) |
모듈 내부의 각 구성 요소들이 서로 관련 없는 요소로만 구성된 경우의 응집도 |
75.6 팬인(Fan-In)/팬아웃(Fan-Out)
팬인은 어떤 모듈을 제어하는 모듈의 수, 팬아웃은 어떤 모듈에 의해 제어되는 모듈의 수를 의미
- 팬인이 높다는 것은 재사용 측면에서 설계가 잘 되어있다고 볼 수 있음
- 팬인이 높은 경우 단일 장애점이 발생할 수 있으므로 중점적인 관리 및 테스트가 필요
- 단일 장애점(SPOF, Single Point Of Failure, 단일 실패점) : 시스템의 구성 요소 중 동작하지 않으면 전체 시스템이 중단되어 버리는 요소를 의미
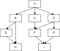
75.6.1 예제
- 다음의 시스템 구조도에서 각 모듈의 팬인과 팬아웃은?

| 모듈 | 팬인 |
|---|---|
| A | 0 |
| B·C·D·E·G | 1 |
| F·H·I | 2 |
| 모듈 | 팬아웃 |
|---|---|
| H·I | 0 |
| C·E·F·G | 1 |
| B·D | 2 |
| A | 3 |
75.7 N-S 차트(Nassi-Schneiderman Chart)
논리의 기술에 중점을 두고 도형을 이용해 표현하는 방법
- 박스 다이어그램, Chapin Chart라고도 함
- GOTO나 화살표를 사용하지 않음
- 연속, 선택 및 다중 선택, 반복의 3가지 제어 논리 구조로 표현
- 조건이 복합되어 있는 곳의 처리를 시각적으로 명확히 식별하는 데 적합
'자격증 > 정보처리기사' 카테고리의 다른 글
| 정보처리기사 - 서버 프로그램 구현 #80~84 (0) | 2023.08.19 |
|---|---|
| 정보처리기사 - 서버 프로그램 구현 #76~79 (0) | 2023.08.19 |
| 정보처리기사 - 서버 프로그램 구현 #70~72 (0) | 2023.08.19 |
| 정보처리기사 - 통합 구현 #64~69 (0) | 2023.08.19 |
| 정보처리기사 - 데이터 입출력 구현 #61~63 (0) | 2023.08.19 |